Вернуться на главную
Старый 14.01.2014, 22:31   #41
Skipper-Влад
Супер-модератор
Член клуба
 
Аватар для Skipper-Влад
 
Имя: Владислав
Регистрация: 09.12.2012
Адрес: Ульяновск
Авто: Duster Privilege 2.0 4х4
Сообщений: 12,580
Skipper-Влад Skipper-Влад Skipper-Влад Skipper-Влад Skipper-Влад Skipper-Влад Skipper-Влад Skipper-Влад Skipper-Влад Skipper-Влад Skipper-Влад
Отправить сообщение для Skipper-Влад с помощью ICQ
По умолчанию

Цитата:
Сообщение от maslovyu Посмотреть сообщение
Имхо, те, который увеличивают на 1см ни к чему плохому привести не должны
Возможно, можно ведь прикинуть этот 1 см...
Например: Наш автомобиль является ОГРАНИЧЕНО-УСТОЙЧИВЫМ, т.е. когда равновесие устойчиво только в пределах колебания относительного центра тяжести (ОЦТ) над опорой (в зоне АВ). Чем больше величина площади опоры АВ, тем больше запас устойчивости тела в динамике и больше момент устойчивости – Муст:

Муст=Р*АВ
Устойчивость тела в статике выше при низком расположении ОЦТ, т.к. в данном случае больше угол устойчивости. Опрокидывающий момент силы тяжести – Мопр равен произведению величины силы Р на высоту Н или любой другой силы на плечо её действия:
Мопр=Р*Н или Fx*Н
Соотношение момента устойчивости и опрокидывающего момента показывает запас статической устойчивости тела и характеризуется коэффициентом устойчивости – К:
К=Муст/Мопр
Попробуем прикинуть (цифры возьму приблизительные)...

P величина силы в статическом состоянии равна массе авто = 1300 (округлим)
Считаем что АВ ширина авто (будем считать что нас интересует устойчивость к опрокидыванию) = 1,56 м (по центру колес, передние немного шире)
Инфы по фактическому значению высоты центра тяжести не нашел, будем считать, что относительный центр тяжести расположен по центру автомобиля (в осях по ширине) и на уровне кромки заднего бампера = 0,77 м
определим угол устойчивости
tgА=Н/(АВ/2)=770/780= 0.98717948717949, угол А = 44° 37´ 49˝
При увеличении высоты ОЦТ на 1 см, получим
tgА=Н/(АВ/2)=780/780= 1, угол А = 45°
Момент устойчивости будет равен
Муст=Р*АВ = 1300*1,56 = 2028
Момент опрокидывания Мопр=Р*Н = 1300*0,77 = 1001 итак при у увеличении высоты относительного центра тяжести увеличивается пропорционально и момент опрокидывания, а так же уменьшается угол равновесия (сумма углов) С=А+В...
Это статичный расчет, если прикинуть динамический (т.е. на скорости и при воздействии центробежной силы при повороте), то результат будет выглядеть примерно так: относительный центр тяжести сместится в сторону меньшего радиуса, чем выше скорость тем большее значение центробежной силы и, следовательно, большее смещение относительного центра тяжести к краю (по рисунку к точке В), так как выведение тела из равновесия вероятнее всего в сторону, где меньше момент устойчивости (угол устойчивости). В результате что нам дает 1 см: уменьшение угла устойчивости на 1 градус в статическом режиме и пропорциональное уменьшение в динамике, но при динамике ОЦТ сместился и угол устойчивости в одном случае будет равен 22° и в другом 21° (при смещении ОЦТ, например на 50 см), но так же стоит учитывать что меняются компенсирующие силы (амплитуда сжатия пружины и как следствие степень сжатия амортизатора)...

Если рассматривать в комплексе, то при определенных условиях (значениях скорости и радиуса поворота, т.е. как результат значение углового ускорения) можно получить и боле стабильное поведение автомобиля при маневрировании за счет меньшего воздействия компенсирующих сил, но при определенных увлечениях составляющих углового ускорения приведет к опрокидыванию... ЗЫ получается нелинейный график

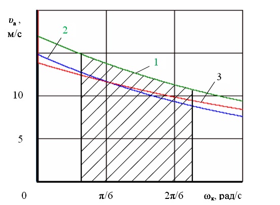
Зависимость критической скорости автобуса по опрокидыванию от угловой скорости поворота управляемых колес ω при различных радиусах поворота...

ЗЫ 1 см или не один, думать головой никогда не повредит....
Миниатюры
Нажмите на изображение для увеличения
Название: 1.jpg
Просмотров: 2395
Размер:	45.1 Кб
ID:	20910   Нажмите на изображение для увеличения
Название: 2.jpg
Просмотров: 2427
Размер:	52.7 Кб
ID:	20911  
__________________

"С тех пор, как я стал водить машину, я стал осторожнее переходить дорогу."
"Будь внимателен на дорогах. Помни: ты явился на свет без запасных частей."
Skipper-Влад вне форума   Вверх Ответить с цитированием
Это может быть интересно
Старый 14.01.2014, 22:34   #42
maslovyu
Администратор
Член клуба
 
Аватар для maslovyu
 
Регистрация: 05.01.2013
Адрес: Москва
Авто: Privilege 1.5 4х4
Сообщений: 20,021
maslovyu maslovyu maslovyu maslovyu maslovyu maslovyu maslovyu maslovyu maslovyu maslovyu maslovyu
По умолчанию

жесть
__________________
У меня можно приобрести клубную символику: Карты - в наличии; Рамки под номера: 11
Текстовые наклейки (белые/черные, маленькие/большие); Наклейки с логотипом (внешние и внутренние)
Есть в наличии: Мухобойки и ветровики; брызговики Дастер-Гард (передние - 1шт (Ф1/Ф2) и задние - 1шт (Ф1); щитки - 0шт; спойлер на зеркала - 0шт)
maslovyu вне форума   Вверх Ответить с цитированием
3 пользователя(ей) сказали cпасибо:
Старый 14.01.2014, 22:38   #43
МЕДВЕЖ
Супер-модератор
Член клуба
 
Аватар для МЕДВЕЖ
 
Имя: Андрей
Регистрация: 14.12.2012
Адрес: РОССИЯ
Авто: Renault Duster Privilege 2,0 4х4-ТАРЗАН.
Сообщений: 7,468
МЕДВЕЖ МЕДВЕЖ МЕДВЕЖ МЕДВЕЖ МЕДВЕЖ МЕДВЕЖ МЕДВЕЖ МЕДВЕЖ МЕДВЕЖ МЕДВЕЖ МЕДВЕЖ
По умолчанию

Skipper-Влад, Влад. Это все на сон грядущий
__________________
Мужчину должны украшать три вещи: порядочность, характер и поступки, а не дешевые понты, завышенная самооценка и длинный язык.

КОПИЛКА ССЫЛОК В ПОМОЩЬ
МЕДВЕЖ вне форума   Вверх Ответить с цитированием
Пользователь сказал cпасибо:
Старый 14.01.2014, 22:40   #44
Гусь
not available
Член клуба
 
Аватар для Гусь
 
Имя: Владимир
Регистрация: 09.12.2012
Адрес: Москва ЮЗАО
Авто: ЕХР 1.6 4Х4 белий +чип от SVV
Сообщений: 9,140
Гусь Гусь Гусь Гусь Гусь Гусь Гусь Гусь Гусь Гусь
По умолчанию

Андрюх, с языка снял.))
Влад, можно я утром перечитаю?))
__________________



аквариумарий http://www.tanganyika.pro/ .тел. 8-968-470-54-О4. Консультации по разведению, приобретению, обслуживанию и уходу.
ПОРТРЕТЫ ПО ФОТО. ГРАФИКА.НЕДОРОГО.
8977-семь4семь-32-48
Гусь вне форума   Вверх Ответить с цитированием
Пользователь сказал cпасибо:
Старый 14.01.2014, 22:40   #45
Skipper-Влад
Супер-модератор
Член клуба
 
Аватар для Skipper-Влад
 
Имя: Владислав
Регистрация: 09.12.2012
Адрес: Ульяновск
Авто: Duster Privilege 2.0 4х4
Сообщений: 12,580
Skipper-Влад Skipper-Влад Skipper-Влад Skipper-Влад Skipper-Влад Skipper-Влад Skipper-Влад Skipper-Влад Skipper-Влад Skipper-Влад Skipper-Влад
Отправить сообщение для Skipper-Влад с помощью ICQ
По умолчанию

Цитата:
Сообщение от МЕДВЕЖ Посмотреть сообщение
Это все на сон грядущий
нет, на сон могу ссылку на диссертацию дать - тема РАЗРАБОТКА ПРИНЦИПОВ И АЛГОРИТМОВ РАБОТЫ СИСТЕМЫ ПРЕДУПРЕЖДЕНИЯ ОПРОКИДЫВАНИЯ АВТОБУСА
PS http://www.vstu.ru/files/autoabstrac...a_avtobusa.pdf материал не большой, но интересный...
__________________

"С тех пор, как я стал водить машину, я стал осторожнее переходить дорогу."
"Будь внимателен на дорогах. Помни: ты явился на свет без запасных частей."
Skipper-Влад вне форума   Вверх Ответить с цитированием
4 пользователя(ей) сказали cпасибо:
Старый 14.01.2014, 22:42   #46
МЕДВЕЖ
Супер-модератор
Член клуба
 
Аватар для МЕДВЕЖ
 
Имя: Андрей
Регистрация: 14.12.2012
Адрес: РОССИЯ
Авто: Renault Duster Privilege 2,0 4х4-ТАРЗАН.
Сообщений: 7,468
МЕДВЕЖ МЕДВЕЖ МЕДВЕЖ МЕДВЕЖ МЕДВЕЖ МЕДВЕЖ МЕДВЕЖ МЕДВЕЖ МЕДВЕЖ МЕДВЕЖ МЕДВЕЖ
По умолчанию

Цитата:
Сообщение от Skipper-Влад Посмотреть сообщение
РАЗРАБОТКА ПРИНЦИПОВ И АЛГОРИТМОВ РАБОТЫ СИСТЕМЫ ПРЕДУПРЕЖДЕНИЯ ОПРОКИДЫВАНИЯ АВТОБУСА
Аааааааааааааааааааааааааааааааааа!
__________________
Мужчину должны украшать три вещи: порядочность, характер и поступки, а не дешевые понты, завышенная самооценка и длинный язык.

КОПИЛКА ССЫЛОК В ПОМОЩЬ
МЕДВЕЖ вне форума   Вверх Ответить с цитированием
Пользователь сказал cпасибо:
Старый 14.01.2014, 22:59   #47
алекс
Член клуба
Член клуба
 
Аватар для алекс
 
Имя: алекс., алексей
Регистрация: 17.02.2013
Адрес: подольск м.о.
Авто: привеледж дизель
Сообщений: 330
алекс
По умолчанию

Кубик.,А где приобретали? Чёто я пропустил...
алекс вне форума   Вверх Ответить с цитированием
Пользователь сказал cпасибо:
Старый 14.01.2014, 23:18   #48
sokol1dv
Член клуба
Член клуба
 
Аватар для sokol1dv
 
Имя: Дмитрий
Регистрация: 25.11.2013
Адрес: Щекино Тульская обл.
Авто: Skoda Kodiaq, дизель 2.0, Ambition с пакетами зимний II, Active II, Ambition II, бежевый
Сообщений: 1,428
sokol1dv sokol1dv sokol1dv sokol1dv sokol1dv
По умолчанию

Skipper-Влад, ты каких грибов наелся
sokol1dv вне форума   Вверх Ответить с цитированием
5 пользователя(ей) сказали cпасибо:
Старый 14.01.2014, 23:33   #49
Sapsan
Член клуба
Член клуба
 
Аватар для Sapsan
 
Имя: Саша
Регистрация: 22.12.2012
Адрес: Ульяновск
Авто: Машина - Зверь
Сообщений: 2,918
Sapsan Sapsan Sapsan Sapsan Sapsan Sapsan
По умолчанию

Skipper-Влад, Влад вот ты замутил тему!!! Так ведь нельзя с людьми на сон грядущий!!! Извеняюсь за флуд.
__________________
Не ждите чуда – чудите сами!!!
Sapsan вне форума   Вверх Ответить с цитированием
2 пользователя(ей) сказали cпасибо:
Старый 14.01.2014, 23:40   #50
More
Супер-модератор
Член клуба
 
Аватар для More
 
Имя: Андрей
Регистрация: 14.12.2012
Адрес: В дебрях Смоленщины
Авто: НИВА Travel '22 "Барышня крестьянка" & ВАЗ-21061 '94 "Шура"
Сообщений: 33,254
More More More More More More More More More More More
По умолчанию

Цитата:
Сообщение от Skipper-Влад Посмотреть сообщение
Возможно, можно ведь прикинуть этот 1 см...
Влад, всё правильно. Подобные расчёты обязательно применяются серьёзными раллийными командами (уровня WRC), при создании, настройке, и калибровке подвески. Создаются компьютерные модели, ищутся компромиссы. Серьёзная наука.
__________________
За базаром не следит, говорит не правильно, шатает скрепы.(с)
Знание русского языка это не возможность, а привилегия.(с)
More вне форума   Вверх Ответить с цитированием
5 пользователя(ей) сказали cпасибо:
Старый 14.01.2014, 23:59   #51
Sapsan
Член клуба
Член клуба
 
Аватар для Sapsan
 
Имя: Саша
Регистрация: 22.12.2012
Адрес: Ульяновск
Авто: Машина - Зверь
Сообщений: 2,918
Sapsan Sapsan Sapsan Sapsan Sapsan Sapsan
По умолчанию

Выше писал что у меня была десятка и занимался не большими доработками. Так вот поставил я на зад развалочные пластины т.к. не устраивала ее динамика вхождения в повороты и при резких обгонах на трассе (друг посоветовал), но сразу предупредил что в калее нужно быть аккуратнее машина себя ведет иначе. Лето откатал не нарадовался. Пришла зима И я вспомнил его слова. Из колеи еле выходил, на трассе в колее машины не обгонял (ждал хорошего участка). К чему все это пишу Дастер приподнят на проставки при колейной трассе на хорошей скорости думаю будет чувствительно переходить из колеи в колею и при обгоне это тоже нужно будет учитывать.
__________________
Не ждите чуда – чудите сами!!!
Sapsan вне форума   Вверх Ответить с цитированием
3 пользователя(ей) сказали cпасибо:
Старый 15.01.2014, 08:20   #52
Шум
Партнер клуба
 
Аватар для Шум
 
Имя: Александр
Регистрация: 14.12.2012
Адрес: Москва
Авто: Дастер 2.0 механика
Сообщений: 260
Шум Шум
По умолчанию

Цитата:
Сообщение от Skipper-Влад Посмотреть сообщение
Возможно, можно ведь прикинуть этот 1 см...
ЗЫ 1 см или не один, думать головой никогда не повредит....
Прочитав пост я понял -ХОРОШО ЧТО Я НЕ ВОДИТЕЛЬ АВТОБУСА.
__________________
https://logan-garage-msk.ru/
АВТОСЕРВИС. ЗАПЧАСТИ
+7-929-536-26-00
+7-929-665-52-40
Шум вне форума   Вверх Ответить с цитированием
2 пользователя(ей) сказали cпасибо:
Старый 15.01.2014, 08:44   #53
Strusto
Член клуба
Член клуба
 
Аватар для Strusto
 
Имя: Владислав
Регистрация: 11.12.2012
Адрес: Мск
Авто: Механика 2-х литровая 12-го года
Сообщений: 8,350
Strusto Strusto Strusto Strusto Strusto Strusto Strusto Strusto Strusto Strusto Strusto
По умолчанию

Ребят, вы чего, всю ночь не спали, задачки решали?
__________________
Найти своих и успокоиться
Грустная музыка лучше выпивки

Собрание путешествий
Strusto вне форума   Вверх Ответить с цитированием
4 пользователя(ей) сказали cпасибо:
Старый 15.01.2014, 10:52   #54
Илья468
Член клуба
Член клуба
 
Регистрация: 24.05.2013
Адрес: Домодедово
Авто: Рено Дастер, 2,0л, 4х4
Сообщений: 2,320
Илья468 Илья468 Илья468 Илья468 Илья468
По умолчанию

Цитата:
Сообщение от Strusto Посмотреть сообщение
Ребят, вы чего, всю ночь не спали, задачки решали?
К экзаменам готовились.
Илья468 вне форума   Вверх Ответить с цитированием
2 пользователя(ей) сказали cпасибо:
Старый 15.01.2014, 10:58   #55
Strusto
Член клуба
Член клуба
 
Аватар для Strusto
 
Имя: Владислав
Регистрация: 11.12.2012
Адрес: Мск
Авто: Механика 2-х литровая 12-го года
Сообщений: 8,350
Strusto Strusto Strusto Strusto Strusto Strusto Strusto Strusto Strusto Strusto Strusto
По умолчанию

Цитата:
Сообщение от Илья468 Посмотреть сообщение
К экзаменам готовились.
Понятно, межвитковые проставки не продают без сдачи экзамена об опрокидывании авто при повышении Ц.Т. на 1 см, я б и колеса большего размера без решения этой задачки не продавал, а уж боксы разрешить ставить только сдавшим кандидатский минимум
__________________
Найти своих и успокоиться
Грустная музыка лучше выпивки

Собрание путешествий
Strusto вне форума   Вверх Ответить с цитированием
3 пользователя(ей) сказали cпасибо:
Старый 15.01.2014, 11:05   #56
begunokART
Новый партнер
 
Имя: Андрей
Регистрация: 15.01.2014
Адрес: Москва/Ярославль
Авто: Lux
Сообщений: 147
begunokART
Отправить сообщение для begunokART с помощью ICQ Отправить сообщение для begunokART с помощью Skype™
По умолчанию

Ну Вы парни жути нагнали (оно конечно и хорошо что так серьёзно отнеслись )
begunokART вне форума   Вверх Ответить с цитированием
Пользователь сказал cпасибо:
Старый 15.01.2014, 11:11   #57
begunokART
Новый партнер
 
Имя: Андрей
Регистрация: 15.01.2014
Адрес: Москва/Ярославль
Авто: Lux
Сообщений: 147
begunokART
Отправить сообщение для begunokART с помощью ICQ Отправить сообщение для begunokART с помощью Skype™
По умолчанию

На своей машине ставил и с завышением и в ноль всё Океющки, ни каких тьфу тьфу опрокидываний и тд. А в колее наоборот она лучше ведёт себя и на трассе особенно.
Ошибочно сравнивать с теми что на 1ой странице каменные чёрные вставки, они вот и блокируют витки, не дают работать пружине, а бывает и ломают ей вот так когда делают

ТАК СТАВИТЬ НЕЛЬЗЯ НИ ЧЕГО
Вы сломаете пружины и винить будете только самого себя за все!


Последний раз редактировалось begunokART; 15.01.2014 в 14:14.
begunokART вне форума   Вверх Ответить с цитированием
4 пользователя(ей) сказали cпасибо:
Старый 15.01.2014, 11:11   #58
Skipper-Влад
Супер-модератор
Член клуба
 
Аватар для Skipper-Влад
 
Имя: Владислав
Регистрация: 09.12.2012
Адрес: Ульяновск
Авто: Duster Privilege 2.0 4х4
Сообщений: 12,580
Skipper-Влад Skipper-Влад Skipper-Влад Skipper-Влад Skipper-Влад Skipper-Влад Skipper-Влад Skipper-Влад Skipper-Влад Skipper-Влад Skipper-Влад
Отправить сообщение для Skipper-Влад с помощью ICQ
По умолчанию

Цитата:
Сообщение от Strusto Посмотреть сообщение
а уж боксы разрешить ставить только сдавшим кандидатский минимум
Влад, бокс является лишь дополнительной нагрузкой по вертикальной оси и, позволяет (ИМХО) уменьшить растояние от относительного центра тяжести до плоскости (но при этом появляется, так сказать некая "парусность")...
Вообще если учесть массу воздействующих факторов, то прощитать довольно сложно, здесь влияет и наличие бокового ветра, и качество дорожного покрытия (сцепление колес с поверхностью), ну и конечно относительный центр тяжести на ходится не по центру авто, а смещен к двигателю, вследствии этого первым потеряет сцепление с плоскостью самое дальнее колесо от поворота (заднее противоположенное стороне поворота)...
ИМХО все девайсы, модернизация и изменение конструкции предусматриваются для достижения какой-либо цели, удобства, комфорта, ну и в последнем случае для перевозки грузов (ИМХО о чем и пишет производитель проставок)...
Каждому решать конечно самостоятельно, но я лишь хотел расскозать про некоторые но...
Цитата:
Сообщение от Strusto Посмотреть сообщение
я б и колеса большего размера без решения этой задачки не продавал
Продавцам колес фиолетово на что вы их покупаете и будете ставить, но имеется рекомендации по эксплуатации автомобиля где указывается типоразмер...
Утрировано можно привести пример, воткнуть например колесо от камаза, тем самым снести нафиг крыло и попробовать обратится по гарантии, что можно будет предъявить ОД? Типа продают же колеса на камаз я и поставил, а оно не лезет, так?
__________________

"С тех пор, как я стал водить машину, я стал осторожнее переходить дорогу."
"Будь внимателен на дорогах. Помни: ты явился на свет без запасных частей."

Последний раз редактировалось Skipper-Влад; 15.01.2014 в 11:17.
Skipper-Влад вне форума   Вверх Ответить с цитированием
4 пользователя(ей) сказали cпасибо:
Старый 15.01.2014, 11:25   #59
Гусь
not available
Член клуба
 
Аватар для Гусь
 
Имя: Владимир
Регистрация: 09.12.2012
Адрес: Москва ЮЗАО
Авто: ЕХР 1.6 4Х4 белий +чип от SVV
Сообщений: 9,140
Гусь Гусь Гусь Гусь Гусь Гусь Гусь Гусь Гусь Гусь
По умолчанию

Влад, вынос мозга произведён. Продаю нахрен авто ,езжу на самокате.)))
зы. По моему ты переработал. Пора в отпуск.)
__________________



аквариумарий http://www.tanganyika.pro/ .тел. 8-968-470-54-О4. Консультации по разведению, приобретению, обслуживанию и уходу.
ПОРТРЕТЫ ПО ФОТО. ГРАФИКА.НЕДОРОГО.
8977-семь4семь-32-48
Гусь вне форума   Вверх Ответить с цитированием
5 пользователя(ей) сказали cпасибо:
Старый 15.01.2014, 11:31   #60
Strusto
Член клуба
Член клуба
 
Аватар для Strusto
 
Имя: Владислав
Регистрация: 11.12.2012
Адрес: Мск
Авто: Механика 2-х литровая 12-го года
Сообщений: 8,350
Strusto Strusto Strusto Strusto Strusto Strusto Strusto Strusto Strusto Strusto Strusto
По умолчанию

Тезка, все правильно, все факторы учитывать надо, спасибо за расчеты, но, ИМХО, изменение поведения машины при повышении/понижении Ц.Т. на 1 см абсолютное большинство водителей не заметит, т.к. не проходит повороты на грани опрокидывания.
__________________
Найти своих и успокоиться
Грустная музыка лучше выпивки

Собрание путешествий
Strusto вне форума   Вверх Ответить с цитированием
Пользователь сказал cпасибо:
Ответ

Опции темы Поиск в этой теме
Поиск в этой теме:

Расширенный поиск
Опции просмотра

Ваши права в разделе
Вы не можете создавать новые темы
Вы не можете отвечать в темах
Вы не можете прикреплять вложения
Вы не можете редактировать свои сообщения

BB коды Вкл.
Смайлы Вкл.
[IMG] код Вкл.
HTML код Выкл.

Быстрый переход


Текущее время: 02:16. Часовой пояс GMT +3.
Powered by vBulletin® Version 3.8.7
Copyright ©2000 - 2025, vBulletin Solutions, Inc. Перевод: zCarot
vB.Sponsors

Яндекс.Метрика